This week we finally made it to the last corner of the mission, a place called Wa. Wa is the capital of Wa Municipal District and the Upper West Region of northern Ghana. The population is over 100,000 people and the Muslim population is significant. The town includes several well-known churches and mosques, including the Wa-Na Palace. It is also the home of the University for Development Studies (UDS). The geography of Wa is known for Ombo Mountain, which is visible from much of the town on a clear day. Unfortunately for us, the haze in the air from the harmattan winds hid the mountain while we were there. The town is also close to two of the seven national parks in Ghana, Bui and Mole.

We left on Saturday morning around 6:30 am. We stopped in Techiman at the Allred’s around 9 am for a bathroom break and then drove the remaining 6 hours to Wa. In addition to the National Parks along the way, we are pretty sure the road is a “pothole protected sanctuary” as there were more than enough potholes and it was obvious no one was allowed to “hunt” them down and destroy them. On the way up, we listened to Brad Wilcox’s audio book titled, “The Continuous Conversion” which is a companion volume to his wonderful book titled, “The Continuous Atonement” (which we have also listened to). We have listened to President Oaks’ biography, President Ballard’s biography, Elder Bednar’s book “The Spirit of Revelation”, an older book from then Elder Nelson titled, “The Power Within Us” and some parts of Ed Pinegar’s book, “Give them Pie”. These long drives have definitely been an opportunity to enhance our gospel scholarship. We are grateful for Deseret Bookshelf Plus that gives us access to these wonderful titles.

We attended the branch in Wa on Sunday and then stayed afterwards for the branch council. I was able to interview the four elders serving there during Sunday School. During branch council, there were three topics. 1) Ministering companionships. 2) Missionary Work. 3) Temple Trip. I won’t go into detail on all three, but will say a bit about the discussion on missionary work. The branch council, led by the branch presidency does not feel that there are people in Wa who will accept the gospel. Their desire is to send the missionaries outside of Wa where the Christian per capita population is higher in order to grow the Church. This however, will not be the solution to the problem that they face of “just maintaining the status quo”. Figuring out the solution to this problem will take some time and effort. The leaders in the branch council are convinced that no one in Wa (or very few) will join the Church, and so it impacts their efforts in sharing the gospel.

The fact that there are no Wa natives on the branch council just reinforces this belief. The branch itself is good. They run the programs, the meetings are well managed and the spirit is present. But the branch is simply not growing. We are grateful that we made the trip up here just to be able to learn and understand this issue more clearly. So much of inspiration is based on information.



The rest of the week was filled with interviews, training, Mission Leadership Council and the arrival of yet another missionary. On Tuesday we attended all of the District Councils via Zoom. We spent about 40 minutes with them and shared a new document with them outlining the use of their time. I won’t go through the details of math here (although I have to say that I really love the numbers), but essentially as we are proselyting each day we have about 5.5 hours to find the elect. Since it takes about 40 hours to find, teach, and baptize an “elect” person, we should have sufficient time to bring 4-5 souls to the waters of baptism each transfer. In addition, we would like the missionaries to spent about 1.5 hours a day working with people they consider “potential elect”. This means that they won’t be able to be baptized this transfer, but they may well be baptized at a later time – and so we still want he missionaries to keep in contact with them. The third category is that of working with members. For this, we want the missionaries to average about 2 hours a day working with all the members in the ward / branch they support. In our mission about 60% of the referrals we receive from members join the church. That is a huge percentage and something we need more focus on. There have been two responses to the introduction of these guidelines. 1) This is really helpful and 2) This feels like more pressure. I guess the reality is that both are probably true, especially for any companionship not proselyting the expected hours each day. We hope it will help the whole mission rise up just a bit.


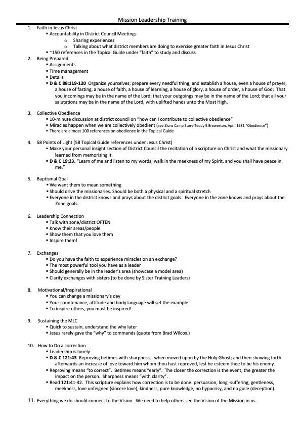
At noon on Tuesday, we asked all of the district leaders, zone leaders, and sister training leaders to join us for leadership training. Last week we mentioned that the training of the new leaders went so well we wanted to extend it to all of our existing leaders as well. We have been working for 8 months to try and get this training right, and I think we have finally found the right 11 points to discuss. We are working hard with the mission leadership council to increase the faith of the missionaries. Not only because it will help them to be better missionaries, but because it will bless the rest of their lives. So like everything else we are doing, we build the leadership training on this very first principle of faith in Jesus Christ. Since our Savior is ALWAYS the answer to every problem, need, opportunity and issue that we face, we start with that premise, that if we have faith in Jesus Christ, nothing is impossible.

On Tuesday afternoon we drove over to the Aputuagya apartment and had interviews with the four elders who are serving there. Elder Thompson and Elder Brima serve in the Atonsu ward and the distance from the apartment to their area takes them over 1 hour a day in transport time. We have asked Cooper, our Facilities Manager to begin to look for an apartment for the Atonsu elders that is closer to their area. As Elder Thompson mentioned in our interview, losing one hour a day for 7 days over a 6 week period is 42 lost hours….and that is essentially how long it takes to find one person who has been prepared by the Lord for them to teach. In this case, we don’t say ” time is money”, we say, “time is souls”.
On Wednesday, we traveled to Nkawkaw (pronounced ncoco) and interviewed the elders there, then we came to Juaso and ended in Konongo. This allowed us to interview all of the missionaries in the Konongo Zone except for the two in Agogo. This zone baptized 25% more per missionary companionship than any other zone. Much of that success is due to the faith of the zone leaders, Elder Jones and Elder Bampoe. Elder Jones recently moved to Dichemso and Elder Riley has replaced Elder Jones. I really loved the opportunity to visit with these magnificent missionaries.
Left to right: Elder RIley, Elder Bampoe, Elder Bloomfield, Elder Gilbert, Elder Ison, Elder Okerlund, Elder Harnois, Elder Mansaray, Sister Muzambwe, Elder Brigham, Sister Donkor, Elder Akeredolu, Sister Kamara, Sister Apana, Elder Toe, Elder Dibatayi.



On Thursday, we held our Mission Leadership Council. The sparkling gem of this meeting was instruction that the Assistants led about being “ALL IN”. Building upon the recent devotional that Kevin Ball did for us, they did an amazing job of bringing this doctrine of being born again to the hearts of these valiant mission leaders. The spirit was so strong that I didn’t want us to leave the topic. We are blessed to have them do this instruction again for each of the 5 zone conferences we will hold.

We also had some “fun” as Elder and Sister Moomey first demonstrated and then walked each member of the Missionary Leadership Council through the process of conducting a malaria test. These tests are available at pharmacies for about $1 each and it gives us the opportunity to have a malaria test without having to go to the hospital. I say “fun” because part of the process requires a finger prick to draw a bead of blood. We enjoyed watching these missionaries as they learned to do this.



After MLC on Thursday, I was able to do 8 more interviews in an effort to make it possible to get all 182 done this transfer. We are finding that we have to use every moment of time available to make this work. This particular MLC is the first group of leaders that were called entirely since we have arrived. We are grateful to be serving with them.

On Friday morning, we traveled to the University Stake Center and there interviewed 10 more missionaries from the University Zone. These were great interviews with great missionaries. You can see the joy on their faces as they valiantly serve the Lord.






From the interviews, we traveled directly to the airport to pick up Elder Price from Boise, Idaho. Elder Price contracted a light case of Covid the day before he was to come to Ghana for his MTC experience. His mission start date was delayed a week and then he did home MTC for a week and the last two weeks were in the Provo MTC. We made it to the airport after he had already come out of the building, so it was fast to just pick him up and take him to the Mission Office. Once there, Alex Cobbina our mission driver (and so much more) took him to the immigration office to get his non-citizen card. They were back by 3 pm and we began to orient and acclimate Elder Price to the Ghana Kumasi Mission. We finished about 6:30 pm and then had dinner from Aboude’s with the Assistants and the Zone Leaders from Tamale who were with the Assistants on an exchange. We were able to finish up and leave the Mission Office around 8 pm. The next morning, Alex took Elder Price to Obuasi where he was paired with Elder Kluse as we departed for Wa.
With our visit to Wa this week we have achieved an important milestone of now having been to the four corners of the mission. There are still three cities we have not yet visited. Two are in the Sunyani District (Berekum and Kenyasi) and one is in Suame Stake (Mampong). And while we haven’t been to every branch and ward in the mission, we have been to the remainder of the cities. Slowly but surely we are getting our arms around this magnificent assignment of gathering Israel for one last time. We continue to rejoice in this glorious and amazing opportunity, Together in Ghana.
Discover more from Kunz Corner
Subscribe to get the latest posts sent to your email.
You are busy! Great to read of all the experiences. May the Lord continue to bless you both. By the way…. I like the tie! Todd
LikeLike
Great Experiences.
LikeLike
Wonderful to have you share your Mission and Missionaries with us. God continue to bless you in this great Work.
Miss you here in Texas!😊
LikeLike